Đặt vấn đề

Chì (Pb) là một kim loại nặng rất độc hại và không phân hủy sinh học, đứng sau asen (As) về mức độ độc hại đối với các sinh vật sống. Pb là một trong những kim loại nguy hiểm nhất về tần suất xuất hiện, độc tính và khả năng phơi nhiễm trong con người (Tarragó & Brown, 2017). Pb có thể gây hại cho con người dù ở nồng độ rất thấp;  tích lũy chủ yếu trong xương và tạo ra các tác động tiêu cực trên hệ thống thần kinh (chủ yếu ở trẻ em), cũng như trong hệ thống tạo máu, thận và tim mạch. Nguồn phát thải Pb chính trong môi trường là do hoạt động của con người như quá trình luyện kim, khai thác mỏ, sản xuất ac quy, pin, sản xuất và sử dụng hóa chất nông nghiệp, tưới tiêu bằng nước thải (Blanco & cs., 2021). Sự tích lũy quá mức của Pb dẫn đến suy thoái sức khỏe đất và ô nhiễm cây trồng trên đất.

Rau xanh, đặc biệt các loại rau ăn lá rất cần thiết cho chế độ ăn uống lành mạnh, có tỷ lệ chuyển vị và thoát hơi nước của kim loại nặng nói chung và đối với Pb nói riêng cao hơn so với các loại rau khác. Mồng tơi (Basella alba L.) là loại rau ăn lá được trồng phổ biến ở Việt Nam. Đây là loại rau có giá trị kinh tế, dinh dưỡng và dược liệu đáng kể.

Do tác động của biến đổi khí hậu, nhiều vùng đất canh tác bị thiếu nước tưới nên đã phải sử dụng nước nhiễm bẩn làm nguồn nước tưới. Điều này dẫn đến nguy cơ rất cao Pb tích tụ trong đất canh tác, tích lũy vào nông sản và ảnh hưởng đến sức khỏe con người (Khalid & cs., 2017). Tại Việt Nam, nhiều hệ thống thủy lợi lớn như sông Nhuệ, sông Cầu Bây, Bắc Hưng Hải… ngoài vai trò cung cấp nước tưới, còn là nơi tiếp nhận nước thải, dẫn đến tiềm ẩn nguy cơ tích lũy Pb trong nông sản rất cao. Mặc dù có nhiều thông tin về rủi ro tới sức khỏe người tiêu dung do dư lượng Pb gây ra nhưng vẫn còn thiếu thông tin về sự hấp thu Pb của rau được tưới bằng nguồn nước nhiễm Pb. Hầu hết các nghiên cứu về Pb trong rau nói chung và rau mồng tơi nói riêng đều là khảo sát điều tra và đánh giá các mẫu đất và nước được thu thập từ các khu vực bị ảnh hưởng.Thông tin liên quan đến việc định lượng giới hạn an toàn của Pb trong nước tưới cho rau mồng tơi ở khu vực hiện vẫn chưa được đề cập trong bất cứ tài liệu nào. Do đó, sử dụng mô hình hồi quy Tobit xác định giới hạn an toàn nồng độ Pb trong nước tưới để đảm bảo phạm vi cho phép của hàm lượng Pb trong rau mồng tơi trồng trên đất phù sa sông Hồng dựa trên lượng Pb sẵn có trong đất là rất cần thiết.

Phương pháp nghiên cứu

Sử dụng mô hình hồi quy Tobit để xác định các yếu tố ảnh hưởng đến tích lũy Pb trong rau.

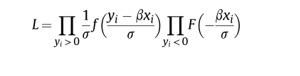
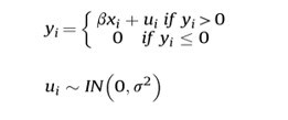
Mô hình Tobit (Tobin, 1958) có dạng như sau:

leftcenterrightdel
 

Trong đó:

y là hàm lượng Pb trong rau xà lách. Các biến x giải thích cho biến y.

x1: Hàm lượng Pb trong nước; x2: Hàm lượng Pb trong đất.

Ước tính tham số:   

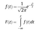
Hàm phân phối chuẩn:

Hàm phân phối tích lũy:

leftcenterrightdel
 

 

Do đó, hàm khả năng của mô hình Tobit được viết như sau:

leftcenterrightdel

Mô hình Tobit sử dụng phương pháp hợp lý tối đa (ML) của các tham số β và Ϭ có thể thu được bằng cách tối đa hóa hàm khả năng ở trên đối với β và ϭ.

Mô hình hồi quy Tobit được sử dụng để dự báo ngưỡng tối đa của Pb trong rau mồng tơi dựa vào nồng độ Pb trong nước tưới và nồng độ Pb có sẵn trong đất với ngưỡng giới hạn an toàn trong rau theo khuyến cáo của Bộ Y tế tại QCVN 8-2:2011/BYT đối với Pb phải dưới 0,3 mg/kg.

Kết quả nghiên cứu

Mô hình hồi quy Tobit có dạng:

                        Pbrau = 0,07 + 0,23*Pbnước + 0,02* Pbđất

leftcenterrightdel
 

So sánh hàm lượng Pb đo được và dự đoán trong rau mồng tơi

Giới hạn an toàn của Pb trong nước tưới và đất bằng cách sử dụng mô hình Tobit

TT

Nồng độ Pb di động trong đất

(mg/kg)

Giới hạn Pb trong nước tưới

(ppm)

1

1

0,93

2

2

0,84

3

3

0,74

4

4

0,64

5

5

0,55

6

6

0,45

7

7

0,35

8

8

0,26

9

9

0,16

10

10

0,06

 

Kết luận

Kết quả nghiên cứu bước đầu cho thấy việc sử dụng nước tưới nhiễm Pb từ 0,1 - 4 ppm cho rau mồng tơi trồng trên nền đất phù sa sông Hồng trung tính, thành phần cơ giới trung bình đã làm tăng nồng độ Pb trong rau từ 0,13 mg/kg đến 1,27mg/kg và trong đất từ 2,67 – 5,78 mg/kg so với trường hợp được tưới bằng nước không nhiễm Pb. Sử dụng mô hình hồi quy Tobit dựa trên kết quả thí nghiệm trong nhà lưới của 01 vụ trồng rau mồng tơi đã ước tính được giới hạn an toàn của Pb trong nước tưới cho rau mồng tơi trồng trên đất phù sa trung tính vùng đồng bằng sông Hồng là dưới 0,93ppm với hàm lượng Pb di động trong đất thấp hơn 10 mg/kg.

TÀI LIỆU THAM KHẢO

1.     Blanco A., Pignata M. L., Lascano H. R. & Rodriguez J. H. (2021). Assessment of lead tolerance on Glycine max (L.) Merr. at early growth stages. Environmental Science and Pollution Research. 28(18): 22843-22852.

2.     Karkush M. O., Ali S. D., Karkush M. & Ali S. (2020). Impacts of lead nitrate contamination on the geotechnical properties of clayey soil. J Eng Sci Technol. 15(2): 1032-1045.

3.     Khalid S., Shahid M., Dumat C., Niazi N. K., Bibi I., Gul Bakhat H. F. S., Abbas G., Murtaza B. & Javeed H. M. R. (2017). Influence of groundwater and wastewater irrigation on lead accumulation in soil and vegetables: Implications for health risk assessment and phytoremediation. International Journal of Phytoremediation. 19(11): 1037-1046.

4.     Kumari P. B., Singh Y. K., Mandal J., Shambhavi S., Sadhu S. K., Kumar R., Ghosh M., Raj A. & Singh M. (2021). Determination of safe limit for arsenic contaminated irrigation water using solubility free ion activity model (FIAM) and Tobit Regression Model. Chemosphere. 270: 128630.

5.     Wang J. (2009). Interval estimation of excess risk related effective doses in tobit models; . All Theses and Dissertations (ETDs), Washington University in St. Louis; https://openscholarship.wustl.edu/etd/520.

TS. Nguyễn Thị Giang - Nhóm NCM Quản lý tổng hợp tài nguyên đất, nước và DD cây trồng

Email: giangkhue@vnua.edu.vn